
苯乙烯衍生物与醇、酮、腈、醚类等溶剂类分子的双官能团化反应,是中科院理化所王乃兴研究组近10年来发现并发展的一个游离基接力反应。对本研究组发展的苯乙烯衍生物的双官能团化反应做了系统深入的总结,分别对各个具体反应作了介绍,给出了各反应机理。
研究发现反应过程生成了一个持久和稳定的游离基(苯环邻位碳原子上的单电子游离基),该游离基有效地得到了苯环p-π共轭效应的稳定作用。该反应2018年起被称为Wang反应,通过一步反应能够实现苯乙烯衍生物的高值转化,对药物及其中间体合成新方法具有重要意义和价值。
在有机合成化学中,直接的碳氢键官能化已成为合成复杂有机分子的一个强有力的工具。以前人们对游离基反应研究较少,认为游离基反应不好控制,很难得到普遍应用。为发展环境友好和原子经济性的合成方法,人们不断开发新型游离基反应;新的催化条件下的游离基反应在合成新方法学中得到很好的应用。
本研究组从2012年开始研究游离基反应,发现所发展的游离基反应非常巧妙,选择性很好,高收率地在一锅反应中能够精准地得到双官能团化的复杂产物,至今已将该游离基反应发展成为一个具有较高科学水平和应用价值的合成化学新方法。
通过游离基反应的策略,本研究组完全突破了苯乙烯不可能与溶剂类分子乙醇、丙酮、乙腈、乙醚类反应的旧概念,实现了苯乙烯与醇、酮、腈、醚类、硫醚类的双官能团化反应。笔者发现该反应是通过游离基接力机制介导进行的,关键中间体中的单电子能够被苯环大π体系稳定。
这方面的研究成果先后在《OrganicLetters》等发表了13篇文章。相关文章被他人引用次数高达286次。2019年德国《Synthesis》把上述成果总结为一个王乃兴反应;2021年,王乃兴应邀在《Synlett》上发表了一篇Account文章,系统地把相关苯乙烯衍生物的双官能反应总结为一个广义的Wang反应通式(Wang’sreaction)。
苯乙烯衍生物的游离基双官能团化反应
发现了苯乙烯衍生物与醇、酮、腈、醚、硫醚、酰胺类的一系列双官能团化反应;发现该反应是通过游离基接力历程实现的;发现反应过程中生成的关键游离基中的单电子能够被苯环大π体系所稳定。
苯乙烯衍生物肉桂酸与环醚和开链醚的双官能团化反应
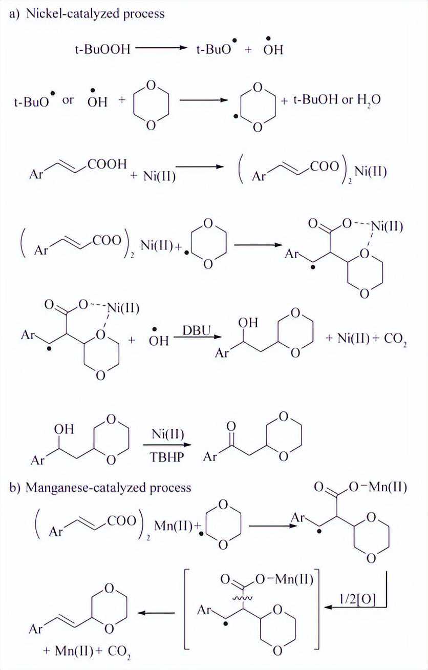
在2012年,笔者发现了苯乙烯衍生物与环醚和开链醚的双官能团化反应,而且催化剂对该反应具有极好的选择性:

该反应机理如下:

上述苯乙烯衍生物肉桂酸与环醚的双官能团化反应2014年发表在《ScientificReports》,中国化学会《化学通讯》在2015年第1期26页以《化学家发现新反应中的催化选择性》为题作了专门介绍。
笔者后来发现许多开链醚类,在铜粉催化下也都能与苯乙烯衍生物肉桂酸很好地发生这种游离基历程的脱羧偶联反应。苯乙烯衍生物肉桂酸与开链醚的反应机理为

苯乙烯衍生物肉桂酸与开链醚的研究成果发表在《ScienceChinaChemistry》。
苯乙烯衍生物肉桂酸与酰胺的双官能团化反应
发现了苯乙烯衍生物肉桂酸与酰胺的双官能团化反应,发现该反应是通过游离基接力机理进行的。

其中,TBHP为叔丁基过氧化氢。
发现该反应的机理为:

苯乙烯衍生物肉桂酸与酰胺反应的研究成果发表在《Synlett》上。
苯乙烯衍生物与脂肪族醇的双官能团化反应
发现了苯乙烯衍生物与脂肪族醇的双官能团化反应,发现在氯化锰和TBHP的新催化体系下,脂肪醇的α-C(sp3)-H键活化,在游离基引发剂的作用下,α-C(sp3)-H键均裂生成新的游离基,经过游离基接力反应得到双官能团β-羟基羰基产物。

研究发现,该反应机理如下:

苯乙烯衍生物与脂肪族醇反应的研究成果发表《ScientificReports》。中国化学会的会刊《化学通讯》在2015年第6期32页对该项成果作了专门的介绍。
苯乙烯衍生物与脂肪族酮的双官能团化反应
发现由三氟甲磺酸铜和氯化锰共催化的苯乙烯衍生物与脂肪族酮的双官能团化反应。该反应条件温和,高选择性地一步得到目标产物。

研究发现该反应机理如下:

苯乙烯衍生物与脂肪族酮的双官能团化反应的研究成果2015年发表在《OrganicLetters》。中国化学会的会刊《化学通讯》2015年第6期32页对该项成果作了专门的介绍。
苯乙烯衍生物与脂肪腈的双官能团化反应
发现在无任何金属催化剂的条件下,苯乙烯经与脂肪腈的α-C(sp3)—H键官能团化,一步得到可以用于药物中间体的双官能团化产物——β酮腈类化合物。

在机理研究方面取得了重要突破,使用游离基捕获剂,捕获到游离基并且形成了一种稳定的加合物,高分辨质谱检测到加合物的存在。发现非共轭烯烃不发生这种游离基反应,通过氘代乙腈(CD3CN)的动力学实验验证了α-C(sp3)—H键的断裂是该反应的速率决定步骤。通过计算化学进一步揭示了该反应的游离基接力历程。

进一步通过量子化学手段,详细计算了苯乙烯与乙腈与的C(sp3)—H键功能化的能量分布。对反应机理研究具有重要意义。
在碱性条件下,TBHP在加热下可以生成高度活化的t-BuO·和HO·游离基,通过几个步骤,激活乙腈的C(sp3)—H键,并捕获乙腈的α—H·游离基原子生成伯烷基自由基。对苯乙烯的乙烯基双键进攻,得到一个被邻位苯环p—π共轭体系所稳定的中间自由基,再和t-BuOO·形成中间体,中间体在DBU作用下重排为产物。
量子化学计算结果如下:

这个重要成果2016年发表在《OrganicLetters》。《化学通讯》在2017年第1期对该项成果作了专门介绍。
苯乙烯与开链醚的双官能团化反应
发现了苯乙烯与开链的醚类新反应,能够通过一锅反应一步高值转化为双官能团化产物。

研究发现该反应的游离基反应机理如下:


苯乙烯与开链醚的双官能团化反应研究成果2019年发表在《AdvancedSynthesisCatalysis》上,《化学通讯》在2019年第2期对这项成果作了专门介绍。
上述苯乙烯衍生物与溶剂类分子环醚、链醚、酰胺、醇、酮、腈等双官能团化,原创性地发展了一个新的有机反应,一步得到了双官能团的药物中间体产物,并在机理研究中取得了突破性进展,通过多项实验手段,用氘代动力学同位素实验等和量化计算证明了该类反应属于游离基反应历程,并发现该反应是通过游离基接力过程进行的,发现关键中间体中的单电子能够被苯环大π体系所稳定。该发现具有重要的科学价值和学术意义。
苯乙烯与硫醚的双官能团化反应
为了进一步拓展对苯乙烯衍生物游离基双官能团化反应的研究,本研究组对反应物进行了大力拓展。分别尝试了N-甲基吡咯烷、甲苯、碳酸二甲酯、硫酸二甲酯、硝基甲烷和二氯乙烷等作为偶联剂,这些试剂都没有反应。当尝试硫醚时,在无金属条件下获得了中等收率的产物。
这是苯乙烯与硫醚在一锅反应中转化为双官能团化产物的首次报告,其特点是操作简单,底物范围广,试剂易得。特别是在研究过程中,对相关理论问题进行了总结性的深入系统的阐述。

硫醚分子中的硫原子对其邻位C—H键的活化作用小,反应性低,本研究组采用TBHP过量的方法,取得了65%的收率,并采用了无金属催化方法,对环硫醚和链硫醚都做了仔细研究。苯乙烯与硫醚的双官能团化反应的研究论文,2022年发表在《OrganicBiomolecularChemistry》。
游离基双官能团化反应的深入研究
游离基接力
研究发现,苯乙烯衍生物游离基双官能团化反应(Wangreaction)是通过游离基接力历程实现的,一步反应能够完成苯乙烯及其衍生物的双官能团化高值转化,对药物及其中间体合成新方法具有实际意义。下面以环硫醚与苯乙烯的游离基双官能团化反应为例,阐明游离基接力的详细过程。
在这个游离基接力过程中,首先TBHP生成游离基t-BuO·(A),t-BuO·(A)能够把单电子传递给四氢噻吩,然后形成四氢噻吩游离基B。
接着四氢噻吩游离基B又把单电子传递到苯乙烯分子中,在苯乙烯分子的苄基位置产生具有单电子的稳定的能够持久的苄基游离基中间体C。
苄基游离基中间体C能够通过苯环的大π体系和自由基p-π共轭效应得以稳定。共轭效应使苄基游离基中间体C不易猝灭或自耦,容易积累到足够的反应浓度,从而有效捕捉反应体系中的瞬时反应游离基(叔丁基—O—O·和·OH)生成最终产物。持久性苄基游离基中间体C的形成是该反应成功的关键。
根据之前的研究,游离基B的势能约为10.2kcal/mol,稳定游离基C的势能约为4.9kcal/mol,产物P的势能约为-97.5kcal/mol。可以看出稳定游离基C的势能较瞬态游离基B的势能低的多。
上述结果都有力地支持了我们对自由基接力过程和持久和稳定自由基效应的观点,这里的C是就是持久和稳定自由基,持久自由基效应(PRE)是一种解释自由基-自由基偶联的交叉选择性的动力学现象。
通过高分辨质谱(HRMS),不仅对游离基接力反应中的几个关键的游离基中间体进行了成功的俘获证实,而且对游离基接力的全过程,用HRMS进行了追踪。反应0.5h后,就用HRMS俘获到了四氢噻吩自由基,在反应1、3和6h后都能够俘获到苯环邻位有单电子的持久性自由基。
这表明四氢噻吩自由基很容易形成,是第一个形成的自由基。苯环邻位有单电子的持久性自由基是在四氢噻吩自由基产生以后,连续不断生成的。因此,整个反应的完成需要一个过程。我们认为,持久性游离基(C)的形成(图1)应该是整个反应的速率决定步骤。

图1游离基接力过程
为了证实反应机理,我们进行了自由基捕获实验。当使用2,2,6,6四甲基哌啶N-氧化物(TEMPO)作为自由基捕获剂时,没有生成产物,证明该反应为游离基历程。
首先通过高分辨质谱检测到2,2,6,6四甲基哌啶N-氧化物(TEMPO)与四氢噻吩游离基的加合物D(图2),说明游离基引发剂TBHP首先引发了四氢噻吩游离基(B)的形成(图1),而在反应刚开始时在反应溶液中还没有发现加合物E(图2),表明此时还没有来得及生成持久性苄基自由基中间体(C,图1)。
当反应进行了一段时间以后,通过高分辨质谱检测到加合物(E,图2),说明反应在进行了一段时间以后才产生了稳定的持久性的苄基游离基中间体(C,图1)。图2所示的游离基捕获实验加合物(D)和(E)证实了游离基B(图1)已经把单电子传递到苯乙烯分子中,通过游离基接力历程,生成了相对稳定的苄基游离基中间体(C,图1)。

图2游离基俘获实验
这里以硫醚为例。我们研究发现,链硫醚的产率低于环硫醚,研究了硫醚中C(sp3)—H键的诱导效应指数。四氢噻吩、二乙基硫醚和二丙基硫醚中C(sp3)—H键的诱导效应指数分别为0.0110、0.00859和0.00757,诱导效应指数代表键电子云偏差,一定程度上代表了C—H键极性。链硫醚显示出比环硫醚低的极性,因为它们具有较低的C—H键诱导效应指数,这使得链硫醚更难被自由基引发剂。
值得注意的是,Et2O(0.032)的诱导效应指数几乎是四氢噻吩(0.011)的3倍。诱导效应指数越低,反应活性越低,因此四氢噻吩的活性远低于Et2O。虽然在提高产品收率方面存在许多困难,但我们的产物收率高达65%。
共轭体系
在研究解决相关理论问题中,发现苯乙烯反应物的芳香环与碳碳双键的共轭体系与反应有关。选择2个典型的非共轭烯烃底物,烯丙基苯和烯基环己烷,与乙腈在最佳反应条件下反应,发现检测不到目标产物的生成(图3)。
这是因为端基芳香烯的芳环和碳碳双键的p—π共轭效应是促使芳环分散相邻游离基单电子的关键,相反,非共轭体系烯丙基苯产生的单电子游离基不能被苯环所稳定,烯基环己烷产生的单电子游离基更是没有p—π共轭效应能够稳定游离基单电子。由于这些游离基不稳定很难生成,所以就不会有反应发生。

图3非共轭体系不发生反应
另外,我们也对该反应考察了氘代同位素效应(KIE)。选择苯乙烯为底物,使用乙腈和氘代乙腈体积比为1∶1的混合溶剂,在最佳反应条件下反应一定时间,通过核磁共振氢谱(1HNMR)分析其混合产物。从氢谱的化学位移分析得知其反应速率为氢/氘比值(KH/KD)为15.7,因此,乙腈α-C(sp3)-H键的断裂为该反应的决速步(图4)。

图4动力学同位素实验
我们还设计了乙醚和茚的反应(茚可以被视为与亚甲基结合的苯乙烯,图4)。预计可以形成2种产物F和G(图5)。然而,我们仅仅得到产物F,产物F的结构得到了二维核磁共振谱(HMBC)的确认。产物F是通过PathI形成的,并经过了过渡态F',过渡态F'中的单电子可通过苯环的大π共轭体系所稳定。如果能够生成产物G,则反应通过PathII形成过渡态G’,在过渡态G’中,苯环不能稳定单电子。

图5单电子受苯环共轭作用
多氮杂环试剂DBU
本研究组发现和报道的苯乙烯衍生物与醇、酮、腈、醚、硫醚、酰胺类的双官能团化反应,在所有反应产物中,都只会生成苯环α-羰基化合物。而Li使用二苯甲酰甲烷作为反应物获得苯环α位是叔丁基过氧基产物(图6(a));Zhu使用1H苯并三唑作为反应物,在苯环α位置生成了含有羟基的产物(图6(b))。这些实验结果也在本实验室得到证实,我们获得了Li和Zhu反应条件下产物的1H、13CNMR和HRMS谱图。

图6其他研究组的相关反应
接着,我们对Li和Zhu的反应进行了扩展研究。发现在不加入DBU的反应条件下,反应产物仅仅是Li和Zhu报道的反应产物,而不是α-位羰基化的产物(图6)。反应产物J(α-叔丁基过氧基取代产物)和K(α-羟基取代产物)的HMBC谱图已经得到证实(图7)。
化合物J应为稳定的游离基中间体(C,图1)和叔丁基氧自由基的偶联产物,化合物K应为稳定的游离基中间体(C,图1)和OH的偶联产物;TBHP产生叔丁基氧自由基(tert-butyl-OO)和羟基自由基(OH)。化合物J和K应该是我们的游离基双官能团化反应过程中的关键中间体,而不是最终产物(图7)。
我们在不加DBU的反应条件下,研究了苯乙烯与环醚的双官能团化反应,成功地俘获了关键反应中间体J和K,结果如图7所示。

图7反应中间体研究
α-羰基化产物
如上所述,Li和Zhu的报道的产物恰恰是我们最后的中间体。DBU的成功应用对我们发展的游离基双官能团化反应的独特性和最终得到苯环α-位羰基产物至关重要,DBU起了关键的作用。
对于产物是苯环α-位叔丁基过氧基取代的产物(图6(a),Li报道的产物),碱性的DBU俘获产物苯环α-位叔丁基过氧基中的α-质子,生成瞬时碳负离子中间体,该中间体通过排出叔丁氧基负离子重排为本研究的生成物α-羰基产物(Kornblum-DeLaMare重排,图8,PathI)。因为DBU总是存在于本研究的反应体系中,所以我们得到的产物仅仅是苯环α-位的羰基产物。
对于苯环α-位羟基取代产物(图6(b),Zhu报道的产物),在本研究的反应条件下得不到这个苯环α-位羟基取代产物,因为苯环α-位羟基取代产物被TBHP所氧化,生成了我们报道的苯环α-位羰基产物(图8,PathII)。苯环α-位羟基是能够被TBHP氧化为α-羰基化合物的。

图8生成α-羰基化产物的2个途径
机理通式
本研究组在最新实验结果的基础上,总结出Wang反应的合理的一般反应机理通式(图9)。首先,在加热下,TBHP分解为叔丁氧基和羟基自由基。接着,叔丁氧基和羟基自由基激活TBHP生成叔丁基过氧基,叔丁基过氧基从溶剂反应物中通过均裂提取一个氢原子H.,如醇、酮、腈、醚和硫醚,形成自由基L。
其次,自由基L把游离基单电子传递到苯乙烯,生成稳定的游离基中间体M。再次,中间体M与羟基自由基或叔丁基过氧基偶联形成中间体N或O,最后中间体N被TBHP氧化为最终产物,中间体O经历Kornblum-DeLaMare重排生成苯环α-位是羰基的最终产物。

图9机理通式
其他问题
关于反应条件,我们的苯乙烯和硫醚反应也可以在常用的开瓶中反应,并不是必须要在封管中进行,而非封管操作工业应用前景较大。本研究组发展的游离基双官能团化反应,例如醇与苯乙烯的C(sp3)-H的官能团化反应也不需要封管。而苯乙烯与酮、腈和醚的反应需要封管,只是因为酮、腈和醚的沸点低于反应所需要的温度。
对有机反应进行立体控制,一直是有机化学研究的前沿领域之一。本研究组在这方面做了一些工作,也取得了一系列成果。游离基双官能团化反应中一些产物中存在着手性中心,因此有可能对反应进行立体控制。然而,由于该游离基反应是一种快速反应,立体控制遇到了巨大的挑战。
我们选择苯乙烯和乙醚的反应作为模型,选择较低的反应温度(30℃)来减缓反应速率,反应时间延长至24h,使用了奎宁、(R)-(+)-2,2'-双(二苯基膦)-1,1'-联萘、(S,S)-2,6-双(4-异丙基-2-恶唑啉2-基)吡啶和L-(+)-脯醇等手性催化剂进行立体控制。
然而,目前我们只获得了相对较低的立体控制结果(4.3%,即对映体过量值为4.3%)。进一步的立体控制研究还在进行当中,为进一步对该反应进行手性控制做了初步探索。
游离基双官能团化反应先后在苯乙烯衍生物与稳定溶剂类分子和其他化合物的C(sp3)-H官能团化反应方面取得了长足的进展,发现苯乙烯衍生物与醇、酮、腈、醚类、硫醚等溶剂类分子可以一步合成双官能团化产物,2018年起有文章称此反应为Wang反应。2019年德国《Synthesis》把上述成果总结为Wang反应。
2021年,笔者应邀在《Synlett》上发表了Account文章,系统地把相关苯乙烯衍生物的双官能反应全面总结为一个王乃兴反应通式(图10)。
图10Wang反应的一般通式
Wang反应是苯乙烯衍生物与醇、酮、腈、醚类、硫醚等溶剂类分子的双官能团化反应。是在金属催化(或无金属催化),以苯乙烯衍生物为反应物,在TBHP和DBU参与下,醇、酮、腈、醚类、硫醚等分子的饱和烷基上的C(sp3)-H键的官能团化反应。
本研究组发现该反应是通过游离基接力过程进行的,不同于常见的瞬态游离基,反应中生成了一个持久的、稳定的、关键的游离基,这就是苯环邻位碳原子上有一个单电子的游离基。该游离基能够得到苯环p—π共轭效应的稳定作用,该游离基在反应中的位能较低。研究揭示了反应物苯乙烯衍生物存在共轭体系的必要性,DBU的使用,使得Wang反应能够专一生成苯环α-位的羰基产物。研究揭示了所发展的游离基双官能团化系列反应的机理通式。
Wang反应通过一步反应能够完成苯乙烯及其衍生物的高值转化,对药物及其中间体合成新方法具有重要意义和价值。
结论
对游离基双官能团化反应的理论问题作了翔实的阐述,实验结果证实了游离基接力过程,实验结果证实反应物苯乙烯类似的衍生物只有共轭体系才会发生反应。
1)中间体苯环邻位叔丁基过氧基化合物,在DBU作用下,通过排出叔丁氧基负离子重排为苯环邻位是羰基的最终产物;苯环邻位羟基中间体,被游离基引发剂TBHP氧化生成了本研究组报道的苯环邻位羰基最终产物。
2)把7个苯乙烯衍生物游离基双官能团化反应的机理,总结为一个反应机理的通式。
3)本研究组发展的苯乙烯和硫醚反应,苯乙烯与醇的反应,都不需要在封管中进行。苯乙烯与酮、腈和醚的反应需要封管,仅仅只是因为酮、腈和醚的沸点低于反应所需要的温度。
本文作者:王乃兴,中国科学院理化技术研究所,研究员,研究方向为手性技术、绿色转换等有机合成。论文发表于《科技导报》2022年第20期,欢迎订阅查看。